[home]   [hintergrund]   [forum]   [blog]   [impressum]
<h1>info-portal rechtsextremismus</h1>
Nachrichten, Berichte, Analysen zum Rechtsextremismus in der Uckermark
 
[news]
news >> 2015 >> 150729_01

29.07.2015

Wie ein NPDler seine Kameraden manipuliert

Die zweite Seite der Wirklichkeit

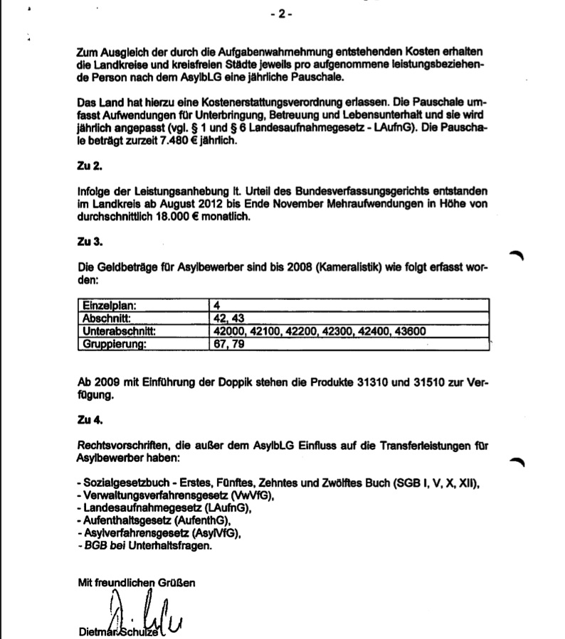
Pinnow (ipr) Auf der Anwohnerversammlung in Schwedt zum neuen Asylbewerberheim in der ehemaligen Ehm-Welk-Schule wurde die Frage nach den Kosten für Asylbewerber gestellt und weder vom Landkreis noch von der Stadt beantwortet. Das zahle der Bund, hieß es nur lapidar. Eine oberflächliche Antwort, die den früheren NPD-Kreistagsabgeordneten Sven Barthel aus Kummerow auf den Plan rief.


anklickenscreenshot: ipr

"So belügen uns die Politiker, von wegen das Asylantenheim kostet Schwedt oder der Uckermark nichts. Die NPD scheint die einzigsteste Partei zu sein die das Wohl des Volkes interessiert. Welche Partei fragt denn jetzt mal nach!?!?" , poltert er auf seinem Facebook-Profil und zeigt die Antwort des Landrates auf seine Anfrage nach den Kosten der Asylbewerber im Landkreis Uckermark für die Jahre 2002 bis 2011 im Bild. Er erntet dafür Beifall von seinen Kameraden. So belaufen sich die Kosten im Jahre 2002 auf 1.510.000 Euro. Zehn Jahre später hat sich die Summe auf 600.000 Euro reduziert.


anklickenscreenshot: ipr

Was Sven Barthel verschweigt, ist die zweite Seite der Antwort des Landrates auf seine Anfrage. Dort wird nämlich auf die Einnahmen des Landkreises durch die Asylbewerber hingewiesen. Zum damaligen Zeitpunkt erhielt der Landkreis für die Unterbringung, Betreuung und den Lebensunterhalt pro Asylbewerber eine jährliche Kostenpauschale von 7.480 Euro. Hätte Sven Barthel jetzt noch nachgeschaut, wie viele Asylbewerber sich in den entsprechenden Jahren in der Uckermark aufhielten, dann hätte er seinen Kameraden sagen können, was so ein Asylbewerber den Landkreis wirklich kostet.

Sven Barthel hat großmäulig den Lokalpolitikern Lügen vorgeworfen. Wie sollen wir nun einen NPDler nennen, der die Teile der Wirklichkeit unterschlägt, die ihm nicht passen?

______________________________________

sven Barthel schrieb am 04.08.2015
Hier eine weitere Seite, und da steht selbst für den größten Pfosten die Kosten.Schau auf meine Seite du Gutmensch.

Irmela Mensah-Schramm schrieb am 29.07.2015
Vielleicht nicht auch besser gleich "Notorischer Lügner" ? Schließlich verdreht er die Tatsachen für seine menschenverachtende Ideologie!

______________________________________



Ihre Meinung

zurücknach oben